Scientia et Technica Año XXVIII, Vol. 28, No. 01, enero-marzo de 2023. Universidad Tecnológica de Pereira. ISSN 0122-1701 y ISSN: 2344-7214
38
D
Imputación, basada en la distribución Normal
multivariada, de datos faltantes de mediciones
de partículas finas suspendidas en el aire
Imputation, based on the multivariate Normal distribution, of missing records of
fine particulate matter in air
E. Arroyave-López ; A Villarreal-Monsalve ; J. Olaya-Ochoa
DOI: https://doi.org/10.22517/23447214.24734
Artículo de investigación científica y tecnológica
Abstract— We propose and evaluate two imputation methods for
missing data of fine particulate matter on air. We assume a 24-
variate normal distribution, one per weekday, due to the fact that
the imputed data are hourly data on a 24-hour daily cycle. From
this distribution properties, the imputation methods are based on
the conditional distributions for missing hours, starting from
hours with available records. We estimate the weekday variance-
covariance matrix using two methods: maximum likelihood
(denoted by ∑), and shrinkage (denoted ∑*). Afterwards, we
verify the missing completely at random (MCAR) assumption
using the Little’s test, and also de multivariate normality using the
Mardia´s test. Finally, we evaluate the proposed methods through
a simulation trial, generating suitable scenarios for this kind of
problems. We use two evaluation criteria: the coefficient of
determination (R
2
) and the square root of the mean square error
(RMSE). We use a 2018 data set from Cali, Colombia, to illustrate
how to use the proposed methods. We reach R
2
values of around
0,70 and 0,49, and RMSE values of around 5,7 and 8,5, for the
methods based on and ∑*, respectively.
Index Terms—Air pollution; Little's test; Mardia test; Missing
points; PM
2,5
; R
2
; RMSE; Shrinkage, Simulation.
Resumen Se proponen y evalúan dos métodos de imputación
para datos faltantes de partículas finas suspendidas en el aire,
asumiendo que cada día de la semana se puede modelar mediante
una distribución normal 24-variada, debido a que los datos que se
imputan son datos horarios sobre un ciclo diario de 24 horas. A
partir de las propiedades de esta distribución, se conduce la
imputación estimando las distribuciones condicionales para las
horas faltantes a partir de las horas con información disponible.
Para cada día se estima la matriz de varianzas y covarianzas por
dos métodos: por máxima verosimilitud (denotada ∑) y por
shrinkage (denotada
*
). Luego, se prueba el supuesto de pérdida
Este manuscrito fue sometido el 02 de junio de 2021, aceptado el 09 de marzo
de 2023 y publicado el 31 de marzo de 2023. Este trabajo contó con el apoyo
financiero de la Vicerrectoría de Investigaciones de la Universidad del Valle,
proyecto CI-21081
E. Arroyave es Estadístico de la Universidad del Valle y ejerce como analista
de datos del Departamento Administrativo de las Tecnologías de y las
Comunicaciones (DATIC), en la Alcaldía de Santiago de Cali, Colombia. (e-
mail: esteban.arroyave@correounivalle.edu.co).
A. Villarreal-Monsalve es Estadístico en la Universidad del Valle, Analista
de analítica de datos en Seguridad Atlas LTDA, Cali, Colombia, 760035 (e-
mail: villarreal.alejandro@correounivalle.edu.co).
completamente al azar (MCAR) mediante el test de Little y se
prueba el supuesto de normalidad multivariada con el test de
Mardia. Finalmente, se evalúan los métodos propuestos vía
simulación, generando escenarios posibles para este tipo de
problemas, junto con dos criterios: coeficiente de determinación
(R
2
) y raíz cuadrada del error cuadrático medio (RMSE). Los
métodos propuestos se ilustran con datos de mediciones de Cali,
Colombia, de 2018. Se alcanzan valores alrededor de 0,70 y 0,49
para el R
2
y de 5,7 y 8,5 para el RMSE, para los métodos basados
en y
*
, respectivamente.
Palabras clave Contaminación del aire; Datos faltantes, PM
2,5
;
R
2
, RMSE; Shrinkage; Simulación, Test de Little, Test de Mardia
I.
INTRODUCCIÓN
E acuerdo con la Organización Mundial de la Salud (OMS)
[1], la contaminación del aire es el mayor riesgo ambiental
para la salud en la actualidad, estimando que contribuye a unos
7 millones de muertes prematuras cada año. Entre los
contaminantes atmosféricos se encuentra el 𝑃𝑀
2,5
el cual
consiste en un conjunto de partículas suspendidas en el aire
cuyo diámetro es inferior a 2,5𝜇𝑚, conformadas, por ejemplo,
por polvo, hollín, sal arrastrada por el aire, esporas y humo de
incendios forestales [2]. Las principales fuentes de emisión de
estas partículas son los incendios forestales, la producción
industrial, las emisiones de fuentes móviles y la calefacción,
entre otros [3].
Por otra parte, el Observatorio Nacional de Salud de Colombia
[4], reporta que en este país la contaminación atmosférica es un
factor potencial causante de aproximadamente 15.681 muertes
J. Olaya-Ochoa es profesor titular de Estadística en la Escuela de Estadística
de la Universidad del Valle, Cali, Colombia, 760031 (e-mail:
javier.olaya@correounivalle.edu.co).
39
Scientia et Technica Año XXVIII, Vol. 28, No. 01, enero-marzo de 2023. Universidad Tecnológica de Pereira.
anuales asociadas con el sistema respiratorio, el cerebro y
enfermedades cardiacas. Además, se ha relacionado al tamaño
de las partículas suspendidas en el aire (PM) con el potencial
para contraer este tipo de enfermedades. Esto se debe a que las
partículas menores a 2,5 𝜇𝑚 que ingresan por las vías
respiratorias pueden alojarse en los pulmones, o pasar
directamente a los vasos sanguíneos [2].
Los datos faltantes en las bases de datos sobre calidad de aire
son un problema muy común [5]. Así que en la literatura hay
disponible una diversidad de ideas sobre cómo resolver este
problema ([6], [7], [8], [9], [10], [11], [12]). En estos trabajos,
los datos disponibles son de frecuencia al menos diaria. O sea
que si se necesitaran datos con mayor frecuencia, por ejemplo
datos horarios, o datos continuos (por ejemplo datos
funcionales), habría necesidad de nuevas opciones analíticas.
En [13] se evalúan varios métodos de imputación de
contaminantes atmosféricos y sugieren adoptar el método de
imputar el promedio de los datos faltantes anterior y posterior.
Este método no sería muy útil en situaciones en las que se
presenten datos faltantes de muchas horas consecutivas.
El estudio de las partículas finas suspendidas en el aire (PM
2,5
),
tropieza con el hecho que las mediciones en los Sistemas de
Vigilancia de la Calidad del Aire (SVCA) tienen como
denominador común la ausencia de muchas mediciones. Esta
falta de información, usualmente referida como datos faltantes,
tiene múltiples orígenes. Por ejemplo, para citar algunas causas
comunes, fallas en el suministro de energía eléctrica, fallas en
los sistemas de comunicación o situaciones relacionadas con el
clima.
En la referencia [14], los autores encuentran que las mediciones
de PM
2.5
correspondientes a una hora i del día j de la semana,
siguen una distribución Normal con media y varianza igual a la
media y a la varianza funcionales del día j, evaluadas en la hora
i de ese día. Estos resultados, con datos de 2015, son validados
por [15] con datos de 2017. Así que la distribución de las
mediciones de cada hora i del día j se puede asumir Normal. En
este trabajo se avanza hasta la verificación que la distribución
conjunta para las 24 horas del día j es Normal multivariada
(MVN). Este resultado se usa para proponer un método de
imputación basado en este conocimiento nuevo.
Se evalúa el desempeño del método de imputación asumiendo
que cada día se distribuye normal 24-variado. Y a partir de las
propiedades de esta distribución se hallan las distribuciones de
las horas faltantes, dadas las observadas, para, finalmente,
generar un valor o vector de valores que se imputarán. La
estimación de la matriz de varianzas y covarianzas se realiza
por el método convencional de máxima verosimilitud y por el
método de encogimiento (shrinkage) ([16], [17], [18]).
II.
MATERIALES Y MÉTODOS
A.
Datos faltantes e imputación
Sea 𝑋 = (𝑋
1
, 𝑋
2
, … , 𝑋
𝑖
, … , 𝑋
𝑝
) un vector aleatorio con función
de probabilidad 𝑓
𝜃
, donde 𝜃 es el vector de parámetros de
interés. Y sea 𝑀 = (𝑀
1
, 𝑀
2
, , 𝑀
𝑖
, , 𝑀
𝑝
) un vector indicador
de falta asociado a 𝑋, que toma el valor de 0 ó 1, para un 𝑋
𝑖
faltante u observado respectivamente. Si se define la falta de
datos como variable aleatoria, se asume que hay una
distribución de probabilidad que modela a 𝑀 y una función o
ecuación que describe la probabilidad de falta [17]. Así, la
probabilidad de que 𝑀 tome el valor de 𝑚 = (𝑚
1
, . . . , 𝑚
𝑝
)
dado que 𝑋 toma el valor de 𝑥 = (𝑥
1
, . . . , 𝑥
𝑝
) es 𝑔
𝜙
(
𝑚
|
𝑥
)
.
Donde 𝜙 es un parámetro de perturbación y 𝑔
𝜙
es llamado
mecanismo o proceso de datos faltantes. Así, al tener una
realización
de
𝑀,
=
1
,
,
𝑝
convenientemente
se
puede
efectuar una partición en el vector aleatorio 𝑋 de tal forma
que
=
(
(
0
)
,
(
1
)
)
donde
los
subíndices
(0)
y
(1)
son
los
indicadores de respuestas asociados a 𝑀. El objetivo es usar la
información
disponible
y
(
1
)
para
obtener
inferencias
sobre
[19].
Ahora bien, al realizar el proceso de inferencia sobre 𝜃, se debe
tener en cuenta la relación existente entre 𝑋 y 𝑀 (𝑔
𝜙
), para que
las inferencias asociadas al vector de parámetros sean válidas.
A continuación, se muestran las tres principales situaciones
reconocidas en la literatura sobre esta relación:
1)
Pérdida completamente al azar: (MCAR)
Es el supuesto más general [20], en el que se afirma que el
proceso generador es independiente de la variable de interés 𝑥,
se define en (1).
𝑔
𝜙
(𝑚|𝑥) = 𝑔
𝜙
(𝑚) (1)
Así, se puede demostrar (2)
𝑓
𝜃
(
𝑥
(
1
)
)
=
𝑓
𝜃
,
𝜙
(
𝑥
(
1
)
|
)
(2)
Concluyendo que la función de la que se asume que proviene 𝑥,
al ignorar el mecanismo de datos faltantes, es igual a la función
de 𝑥 condicionada a la variable 𝑚.
2)
Pérdida al azar: (MAR)
Este supuesto afirma que el proceso generador de faltas
depende solo de los datos observados, como se describe en (3)
(|) = (|
(1)
) (3)
En este caso la falta de datos no depende de los valores perdidos
(0)
, solo depende de las variables observadas.
3)
Pérdida no aleatoria: (MNAR)
Dicho supuesto radica en que la presencia de un dato faltante
en una variable 𝑌 depende tanto de sus valores observados
como sus valores perdidos, que en términos de probabilidad se
denota como aparece en (4)
(|) =
(|
(1)
,
(0)
) (4)
Así pues, la probabilidad de que falten datos en 𝑌 depende tanto
de los valores observados como de los valores perdidos. Este
caso es el más desafortunado en la práctica ya que es un tipo de
falta no ignorable. Se podría pensar que en estos casos la
perdida es determinística por un factor externo al
40
Scientia et Technica Año XXVIII, Vol. 28, No. 01, enero-marzo de 2023. Universidad Tecnológica de Pereira
0
comportamiento de las observaciones haciendo que se pierda
información para realizar imputaciones.
B.
Test de Little para probar MCAR
Sea 𝑋 = (𝑋
1
, … , 𝑋
𝑖
, … , 𝑋
𝑝
) el vector aleatorio de dimensión 𝑝
y 𝑀 = (𝑀
1
, , 𝑀
𝑖
, , 𝑀
𝑝
) como el vector indicador de falta.
Entonces, se define a 𝑨 como el número posible de distintos
patrones de falta en 𝑋, donde los casos completamente
observados cuentan como patrón. Además, al tener varias
observaciones de 𝑋, se define 𝐗
𝐚
como el conjunto o matriz de
vectores observados con patrones faltantes 𝑎 (𝑎 = 1, . . . 𝑨) con
𝑟
𝑎
observaciones (filas) y p variables (columnas), cumpliéndose
que
𝑎
𝑟
𝑎
= 𝑛. Por último, se define a 𝐷
𝑎
(𝑝 × 𝑝
𝑎
) (con 𝑝
𝑎
el
número de variables observadas en el patrón 𝑎), como la matriz
indicadora de las variables que fueron observadas en el patrón
𝑎, que tiene una columna para cada variable presente que consta
de 𝑝 1 ceros y un 1, correspondiente a la variable
identificada. Consecuentemente, si se tienen 𝑛 realizaciones 𝑋
𝑘
𝑘
(
1, , 𝑛
)
iid normal, la pérdida de datos MCAR y
estimadores
por
máxima
verosimilitud
tanto
de
𝜇
y
Σ
𝜇
=
y
Ŝ
=
𝑛
Σ
se
procede
a
establecer
el
estadístico
(5)
De acuerdo con las propiedades de la normal multivariada, se
realizan las particiones (7).
(7)
En (7), se particiona el vector X
j
en dos subvectores. Uno (X
j1
)
se refiere a los datos que se requiere imputar y el otro (X
j2
) se
refiere a las observaciones efectivamente obtenidas. No se
pueden imputar más de 6 datos faltantes.
Por lo tanto, el método de imputación propuesto se basa en
utilizar la distribución condicional de X
j1
|X
j2
= x
j2
en un día 𝑘
donde que contienen 𝑞
𝑘
datos faltantes (𝑘 = 1, , 𝑛). Así la
idea es hallar la distribución normal 𝑞
𝑘
𝑣𝑎𝑟𝑖𝑎𝑑𝑎 que modela
las horas faltantes en un día 𝑘, en el que se cuenta con
información de las horas que observadas. Esta distribución se
define en (8).
X
j1
|X
j2
= x
j2
NMV (𝜇
𝑋
𝑗1
|𝑋
𝑗2
=𝑥
𝑗2
, 𝛴
𝑋
𝑗1
|𝑋
𝑖2
=𝑥
𝑗2
)
(8)
Con 𝑥̅
(1
)
,𝑎
= 𝑟
−1
𝑥
siendo
el vector de valores
La media condicional y la matriz de covarianzas condicional se
𝑎 𝑘∈𝑿
𝒂
(1),𝑘
(1),
observados para un día k cualquiera (k = 1, …, n), 𝜇̂
(1
)
𝑎
=
𝜇𝐷
𝑎
y
Σ
(
1
)
,
𝑎
=
𝐷
𝑇
Σ
𝐷
𝑎
,
medias
y
matrices
de
covarianzas
de
las variables observadas en el patrón 𝑎. Así pues, (2) se
distribuye 𝜒
2
con
𝑎
𝑝
𝑎
𝑝 grados de libertad. Finalmente,
definen en (9) y (10).
1
|
2
=
2
= X
j1
+ S
j12
S
j22
−1
(x
j2
X
j2
) (9)
Little demuestra que 𝑑
2
es el estadístico de razón de
verosimilitud para probar el modelo
(
𝑥
(
1
)
,
𝑘
|
𝑎
)
𝑁(𝜇
(1
)
,𝑎
, Σ
(1
)
,𝑎
) con 𝑘 𝑋
𝑎
contra el modelo alternativo
1
|
2
=
2
= S
j11
S
j12
S
j22
−1
S
j21
(10)
modelo
(
𝑥
(
1
)
,
𝑘
|
𝑎
)
𝑁
(
𝑣
(
1
)
,
𝑎
,
Σ
(
1
)
,
𝑎
)
siendo
𝑣
(
1
)
,
𝑎
el
vector
de medias de las variables observadas (diferentes de 𝜇) que son
distintos en cada patrón 𝑎 [21].
C.
Imputación a partir de la distribución normal
Multivariada
La imputación de datos recoge a un conjunto de métodos para
tratar bases de datos con datos faltantes. La idea principal de
estos métodos consiste en sustituir los espacios de los datos
faltantes por un dato estimado, para luego realizar análisis de
datos [18]. Los tipos de imputación varían de acuerdo con las
necesidades o alcances de la situación. A continuación, se
presenta el método de imputación propuesto que se encuentra
basado en el proceso generador (6).
X
j
𝑁
24
(X
j
,
S
j
); 𝑗
=
1,2,
.
.
.
,7
(6)
Donde 𝑗 se refiere a cada día de la semana comenzando por el
lunes
y
terminando
en
el
domingo.
X
𝑗
y
S
j
son
los
estimadores
máximo verosímiles de los parámetros de la distribución
normal multivariada de cada día.
D.
Estimación de 𝜇 y 𝛴
Para hallar los estimadores de 𝛍 y Σ se usa el método de
estimación por máxima verosimilitud teniendo el resultado
(11).
μ
=
X
=
1
X
=1
𝑆
= Σ
𝑛 1
(11)
Adicionalmente, para calcular 𝛴, se presenta un método alterno
mediante el estimador de encogimiento (shrinkage), que se
define en (12).
Σ
= 𝜆 𝑇 + (1 𝜆) 𝑆
(12)
Donde T es una matriz objetivo y representa un modelo
reducido de la matriz de covarianzas en el que se estiman menos
parámetros y 𝜆 [0,1] representa la intensidad de contracción
[17].
𝑛−1
𝑑
2
= 𝑟
𝑎
(𝑥̅
(
1
)
,𝑎
0
𝜇
(
1
)
𝑎
)
Σ
1
(
𝑥
(
)
(
1
)
,
1 ,
𝜇̂
(1
)
𝑎
)
(5)
(,
)
(,
)
41
Scientia et Technica Año XXVIII, Vol. 28, No. 01, enero-marzo de 2023. Universidad Tecnológica de Pereira.
La elección de este estimador tiene que ver con el
condicionamiento de la matriz, dado que en casos donde el
tamaño de la muestra 𝑛 no es suficientemente mayor a 𝑝, es
decir para proporciones 𝑛/𝑝 cercanas o menores a 1, la matriz
estimada puede perder algunas propiedades deseables [15],
especialmente puede llegar a ser una matriz mal-condicionada.
Cuando se presenta esta situación, se puede evaluar la matriz
mediante número de condición 𝑘(𝛴), que para matrices de
covarianza se define en (13).
���
()
=
���
(13)
Donde 𝑤
𝑚𝑎𝑥
y 𝑤
𝑚𝑖𝑛
corresponden a los valores propios
máximo y mínimo de Σ, respectivamente. Valores mayores de
𝑘
(
Σ
)
se asocian matrices 𝛴 mal condicionadas.
E.
Test de Mardia para probar el supuesto de Normalidad
Mardia [22] propone un test para probar normalidad
multivariada a partir de las medidas de asimetría y curtosis
multivariada. Estas medidas se desarrollan al extender aspectos
de estudios para el estadístico t-student en las que se tienen en
cuenta la simetría y la curtósis univariadas.
Sea
1
el
coeficiente
de
simetría
estimado
de
una
muestra
normal
p-variada
y
2
el
coeficiente
de
curtósis
estimado,
se
pretende validar el supuesto de normalidad p-variada de un
vector aleatorio 𝑋 = (𝑋
1
, . . . , 𝑋
𝑝
) a partir de una muestra de
tamaño n, mediante los dos estadísticos (14) y (15).
1
𝛾
1
=
𝑑
3
2
��
=1 =1
(14)
1
𝛾
2
=
𝑑
2
��
=1
(15)
Donde 𝑑
𝑏𝑐
=
(
𝑥
𝑏
𝑥̅
)
𝑇
𝑆
−1
(
𝑥
𝑐
𝑥̅
)
es la distancia de
Mahalanobis al cuadrado entre la 𝑏 é𝑠𝑖𝑚𝑎 y la 𝑐 é𝑠𝑖𝑚𝑎
observación, y 𝑆
−1
es la inversa de la matriz de varianzas y
covarianzas estimada. Los estadísticos de prueba bajo la
hipótesis de normalidad multivariante se distribuyen (16)
𝛾
1
𝜒
2
6
(16)
Con 𝑔𝑙 =
𝑝(𝑝−1)(𝑝+1)
y la región de rechazo de la hipótesis de
Así la prueba para la curtosis se contrasta contra el valor crítico
asociado a una significancia .
F.
Evaluación del desempeño
Para evaluar el método de imputación se hace uso de la raíz del
error cuadrático medio (RMSE) (18) y el coeficiente de
determinación (𝑅
2
) (19).
H
1
RMSE
=
(
h
𝑥
)
2
H
h=1
(18)
1
𝐻
(
)
(
𝑥
)
2
𝑅
2
= (
ℎ=1
)
𝐻 𝜎
𝑥̂
𝜎
𝑥
(19)
En las anteriores expresiones 𝐻 es la cantidad total de horas que
se
imputaron,
los
valores
de
las
horas
imputadas
y
𝑥
las
horas
observadas,
y
son
la
media
de
estos
y
𝜎,
𝜎
𝑥
su
desviación estándar. El RMSE da una noción de la distancia que
hay entre los datos observados y los datos imputados, así que
para que el método de imputación presente un buen desempeño
esta distancia debería ser pequeña, por lo que el RMSE debe ser
cercano 0. El 𝑅
2
dice como es el ajuste de un modelo lineal
entre los datos observados y los imputados, si este valor es
cercano a 1 indica que los datos observados e imputados son
equivalentes.
G.
Generación de escenarios de simulación
En la referencia [15] proponen la generación de los escenarios
usada en este trabajo de investigación, donde se tiene como
objetivo generar una matriz de datos faltantes a partir de la
matriz de datos completos que conserve los patrones de datos
faltantes presentados en la matriz de datos originales, este
método comienza haciendo un análisis de los datos faltantes en
brechas horarias, que de acuerdo con el número de faltas se
definen así:
Brecha de tamaño n. Una brecha de tamaño 𝑛
{
1,2, . . . ,6
}
,
consiste en n horas seguidas en las que hay datos faltantes pero
antes y después de estas no se presentan horas con datos
faltantes. El número de datos faltantes en un día no puede ser
mayor del 25% de los datos posibles para el día, para que la
información del día se pueda considerar válida. Por esta razón,
n no puede ser mayor que 6.
6
2
2
Escenarios de simulación propuestos:
simetría normal p-variada está definida como 𝑅 =
(
𝜒
|
𝜒
𝑜𝑏𝑠
>
𝜒
2
) siendo 𝜒
2
el estadístico crítico asociado a los grados
Contando con la información sobre las brechas horarias y
de libertad y una significancia 𝛼. Ahora bien, Para la curtosis
se tiene la distribución (17)
haciendo uso de la distribución uniforme (0,1) se tiene el
siguiente algoritmo para la generación de los escenarios:
Paso 1: A partir de la matriz de días completos se escoge
al azar un porcentaje 𝑇 de estos días completos, con el
propósito de contaminarlos con datos faltantes. Los días
seleccionados serán contaminados usando las brechas ya
8
(
+ 2
)
𝛾
2
𝑁 (𝑝
(
𝑝 + 2
)
,
𝑛
)
(17)
42
Scientia et Technica Año XXVIII, Vol. 28, No. 01, enero-marzo de 2023. Universidad Tecnológica de Pereira
mencionadas. Los porcentajes de días a contaminar son
=
{
20%, 40%, 60%, 80%, 100%
}
.
Paso 2: Se toma el primer día elegido en el paso anterior
y se genera un número de la distribución 𝑈 (0,1) y
según el valor obtenido este día tendrá cierto tipo de
brecha. Para esto se toma como referencia las frecuencias
relativas acumuladas.
Paso 3: Teniendo el tipo de brecha, se procede a elegir la
cantidad de brechas que se van a generar dentro del día,
de nuevo haciendo uso de la distribución 𝑈 (0,1). Cabe
mencionar que este paso sólo se realiza para las de
brechas de tamaño 1, 2 y 3 ya que en el caso de las brechas
de tamaño 4, 5 y 6 sólo es posible generar una brecha de
cada cual debido a la restricción de que máximo pueden
generarse 6 datos faltantes por día.
Paso 4: Después de tener el tipo de brecha y su cantidad
a generar en un día se eligen aleatoriamente las posiciones
en las que estas se ubicarán.
Paso 5: Se repiten los pasos 2, 3 y 4 para todos los días
seleccionados en el paso 1.
Paso 6: Se realiza el proceso de imputación propuesto a
la base de datos contaminada.
Paso 7: Teniendo la base de datos imputada, se procede
a evaluar el método mediante el RMSE y el 𝑅
2
.
Finalmente se repite el algoritmo 1.000 veces para cada
porcentaje de datos faltantes expuestos en el paso 1. En cada
iteración se guardan los valores del RMSE y el 𝑅
2
. Entonces en
total se tendrán 1.000 indicadores de cada uno por cada
porcentaje 𝑇, de estos se reporta el promedio y el rango, con el
fin de ver como es el comportamiento de estos indicadores para
diferentes escenarios posibles.
III.
RESULTADOS
A.
Datos
La información usada para ilustrar los métodos propuestos es
tomada del Sistema de Vigilancia de la Calidad del Aire de
Santiago de Cali (SVCASC), que cuenta con 9 estaciones
distribuidas en las zonas urbana y rural, en las que se miden
diferentes contaminantes atmosféricos incluido el 𝑃𝑀
2.5
. La
base de datos consiste en mediciones horarias de 𝑃𝑀
2.5
del año
2018, tomadas en la estación Univalle [23]. El conjunto de
datos cuenta con 365 filas y 24 columnas correspondientes a los
días y horas respectivamente lo que implicaría un total de 8760
mediciones, en un contexto sin mediciones faltantes.
La estación Univalle del SVCASC está ubicada en la parte sur
de la zona urbana de Cali (1018 msnm), cercana a vías
principales como la Calle 5, la Carrera 100, la Calle 16, La
Avenida Pasoancho (Calle 13) y la autopista Simón Bolivar.
Esta zona se caracteriza por ser altamente transitada, ya que es
camino hacia las principales instituciones de educación media
y superior de la ciudad y hacia otras ciudades vecinas. Además,
está al lado de dos de los más grandes y concurridos centros
comerciales de la ciudad, pero no hay industrias alrededor. De
esta manera, se podría considerar a las fuentes móviles como
las principales generadoras de partículas suspendidas en el aire
en este sector de Cali.
B.
Análisis exploratorio
Fig. 1. Mapa de datos faltantes
Fuente: Elaboración propia
La Fig. 1, representa el esquema de la base de datos mostrando
de color blanco las horas donde faltan mediciones. Se observa
un 13% de mediciones faltantes de 𝑃𝑀
2
5
de la estación de
Univalle en el año 2019, un equivalente a 1.139 horas donde no
se obtuvieron registros del contaminante. Las filas totalmente
blancas representan días donde faltan todas las 24 mediciones,
llamados días totalmente incompletos o simplemente días
incompletos.
En la Tabla I se muestra el porcentaje de días completos para
cada uno de los días, Como en la propuesta de imputación se
asume que cada día tiene una distribución Normal 24-variada,
se muestra la cantidad de filas que tendrá cada conjunto de datos
completos, con el que se estimará la media 𝜇
𝑗
y la matriz de
covarianzas 𝛴
𝑗
asociado al día j de la semana.
TABLA I
DÍAS CON DATOS COMPLETOS
j
Día de la
semana
Días
Completos
Frecuencia
Relativa
1
Lunes
26
0,50
2
Martes
34
0,65
3
Miércoles
33
0,63
4
Jueves
28
0,54
5
Viernes
32
0,62
6
Sábado
35
0,67
7
Domingo
32
0,62
Total
220
Fuente: Elaboración Propia
43
Scientia et Technica Año XXVIII, Vol. 28, No. 01, enero-marzo de 2023. Universidad Tecnológica de Pereira.
Los resultados de la Tabla I permiten anticipar posibles
dificultades en el condicionamiento de la matriz de varianzas y
covarianzas estimada, dado que p = 24 y los valores de n
fluctúan entre 26 y 35.
TABLA II
CLASIFICACIÓN DE LOS DÍAS
Horas
faltantes
Categoría
Frecuencia
Frecuencia
Relativa
Frecuencia
Relativa
Acumulada
0
Completos
220
0,603
0,603
1-6
Parcial/Comp
letos
84
0,230
0,833
7-23
Parcial/Incom
pletos
42
0,115
0,948
24
Incompletos
19
0,052
1
Total
365
1
-
Fuente: Elaboración propia
De acuerdo con la Tabla II, se dispone de un 60,3% de días
completos y de un 23% de los días parcialmente completos.
Estos 84 días son los susceptibles de usar para efectos de
imputación, de tal modo que, si se aplica la propuesta a la base
de datos real, se imputarían los 84 días parcialmente completos,
aumentando el número de días completos, ya sea por
observación, o por imputación, del 60,3 al 83,3%.
La Tabla III muestra que los registros faltantes son más
comunes los domingos (19%) y los lunes (15%). Este hecho
podría anticipar una menor calidad de la imputación para estos
días de la semana.
C.
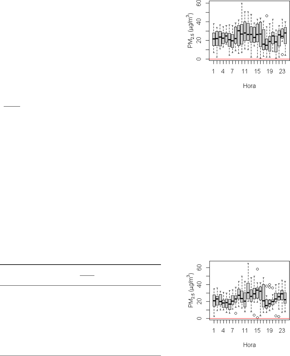
Comportamiento del ��
2,5
Para la ilustrar el comportamiento del contaminante, se
presentan dos boxplot correspondientes a las mediciones de
concentración de 𝑃𝑀
2⋅5
para los días lunes (Fig. 2) y martes
(Fig. 3).
TABLA III
DATOS FALTANTES POR DÍA
Día de la semana
Cantidad
(Horas)
Frecuencia
Relativa
Lunes
190
0,15
Martes
111
0,09
Miércoles
139
0,11
Jueves
148
0,12
Viernes
141
0,11
Sábado
166
0,13
Domingo
243
0,19
Fuente: Elaboración propia
Fig. 2. Concentración horaria de 𝑃𝑀
2,5
para el día lunes.
Fig. 3. Concentración horaria de 𝑃𝑀
2,5
para el día martes.
Las Fig. 2 y 3 permiten visualizar que las mediciones del
contaminante incrementan alrededor de las 11 y de las 15 horas,
posiblemente como resultado del tráfico vehicular alrededor de
la estación Univalle. Al contrario, entre las 16 y 20 las
concentraciones del 𝑃𝑀
2,5
disminuyen y se localizan en un
rango menor.
D.
Estimación por encogimiento
Cuando las matrices de datos tienen el número de variables muy
cercano al de individuos (𝑝 𝑛), las matrices de covarianzas
estimadas son en general mal condicionadas. Esta situación se
presenta en este estudio, por lo que se presentan aquí la matriz
objetivo 𝑇 y el valor de 𝜆 que se utilizan como alternativa a la
estimación por máxima verosimilitud.
Para la estimación de dichas matrices el parámetro de
encogimiento es de 𝜆 = 0,2, por recomendación en la literatura
[18]. Esta elección de λ es muy razonable, en la medida que da
menor peso a la matriz objetivo. El cálculo de las matrices de
covarianza estimadas se realiza con el lenguaje R [24] en
RStudio [25] con la función “cov.shrink” ilustrada en [26],
donde la matriz T se define en este caso de la forma (20).
��
��, =
𝑇 = {
0 𝑠𝑖, 𝑖 𝑗
} ; 𝑖, 𝑗 (1, . . . ,24)
(20)
La Tabla IV muestra los números de condición de las matrices
de
covarianzas
estimadas
por
máxima
verosimilitud
()
y
por
encogimiento
(
).
Conforme
con
lo
esperado
teóricamente,
son mucho mayores para las estimaciones por máxima
verosimilitud.
44
Scientia et Technica Año XXVIII, Vol. 28, No. 01, enero-marzo de 2023. Universidad Tecnológica de Pereira
TABLA IV
NÚMEROS DE CONDICIÓN PARA MATRICES DE COVARIANZA ESTIMADAS
La hipótesis alterna sugiere que la función de distribución de
las concentraciones de 𝑃𝑀
2,5
en el aire, dado las faltas, surge
de una distribución con media 𝑣
𝑗
en cada patrón j de faltas,
probando que las faltas no son completamente aleatorias. En la
Tabla VI se presentan los resultados.
Fuente: Autores
.
E.
Pruebas de normalidad
En Tabla V se presentan los resultados de la prueba Mardia para
probar el supuesto de normalidad 24-variada. Se busca
contrastar la hipótesis de que las mediciones de cada día de la
semana se asemejan a una distribución normal 24-variada a
partir de las estimaciones de la simetría y curtosis multivariadas
mostradas en la sección anterior.
TABLA V
RESULTADOS TEST DE MARDIA
Simetría
Curtosis
Día
Estad.
Valor-p
Estad.
Valor-p
Cumple
Lunes
2.331,20
0,99
-3,33
0,000
SI/NO
Martes
2.559,89
0,90
-1,69
0,089
SI/SI
Miércoles
2.477,60
0,95
-2,32
0,020
SI/NO
Jueves
2.329,22
0,99
-3,24
0,010
SI/NO
Viernes
2.464,42
0,97
-2,32
0,019
SI/NO
Sábado
2.616,78
0,40
-1,27
0,200
SI/SI
Domingo
2.466,60
0,96
-2,43
0,014
SI/NO
Fuente: Autores
De acuerdo con los resultados de la Tabla V, en todos los días
la prueba de simetría permite validar el supuesto de Normalidad
Multivariada y en dos días la prueba de curtosis también
permite mantener este supuesto. El test de Mardia se conduce
por defecto con la estimación máximo verosímil de la matriz de
covarianzas. En los datos de esta ilustración, estas matrices no
son bien condicionadas, lo que podría afectar el desempeño de
la prueba. Otras pruebas de Normalidad Multivariada, como la
generalización de la prueba de Shapiro-Wilk [18] proceden de
igual manera, por lo que los resultados de esta prueba también
están afectados por esta realidad del mal-condicionamiento de
estas matrices estimadas. Ante la ausencia de pruebas formales
diseñadas para el escenario planteado por este conjunto de datos
y ante los resultados del test de Mardia, sumada a la Normalidad
de las distribuciones horarias, los resultados se basarán en una
distribución Normal 24-variada para cada día de la semana.
F.
Prueba MCAR
A partir del supuesto de normalidad de cada día, en la prueba
de Little para MCAR se busca contrastar las hipótesis (21)
𝐻
0
: f(𝑦
𝑗
|m) 𝑁(𝛍
𝐣
, Σ
𝑗
)
��. (21)
𝐻
𝑎
: f(𝑦
𝑗
|m) 𝑁(𝛎
𝐣
, Σ
𝑗
)
TABLA VI
RESULTADOS DEL TEST DE LITTLE PARA MCAR
GL
Estadístico
Valor- p
Lunes
323
357,26
0,091
Martes
219
249,77
0,075
Miércoles
198
231,70
0,051
Jueves
284
302,14
0,219
Viernes
263
324,59
0,001
Sábado
153
194,31
0,013
Domingo
179
182,38
0,416
Fuente: Autores
Según los resultados de la Tabla VI, con un nivel de
significancia del 5%, la condición MCAR no se cumpliría para
viernes y sábado, mientras que para los días restantes no hubo
evidencia para rechazar dicho supuesto. Es decir, las
observaciones de estos días con registros faltantes se pueden
considerar como submuestras aleatorias de la base completa,
por lo que se podría realizar el método de imputación sin mayor
complicación, porque gracias al cumplimiento del test, el
mecanismo de faltas puede ser ignorado. Para la aplicación de
la propuesta en los viernes y sábados se asume que la pérdida
de datos es MAR. En este caso se repite la dificultad de que el
test de Little se apoya en la estimación máximo verosímil de la
matriz de covarianzas.
G.
Desempeño del método
En esta sección se presentan los resultados obtenidos del
desempeño por el método de imputación propuesto para los
diferentes escenarios de simulación planteados. Primero, en la
Tabla VII se muestra el porcentaje de registros faltantes
generados en las bases de datos para cada porcentaje de días
contaminados.
TABLA VII
PROPORCIÓN DE FALTAS GENERADAS PARA CADA
PORCENTAJE DE DÍAS CONTAMINADOS
% días
contaminados
con faltantes
𝑝̂ (min - max)
20%
0,016 (0,011; 0,022)
40%
0,033 (0,024; 0,041)
60%
0,049 (0,041; 0,061)
80%
0,066 (0,051; 0,078)
100%
0,083 (0,071; 0,097)
Fuente: Autores
Día
𝑘()
𝑘(
)
Lunes
1.716,39
40,30
Martes
347,32
36,24
Miércoles
597,80
50,27
Jueves
2.104,46
41,50
Viernes
574,74
37,40
Sábado
864,68
37,13
Domingo
1.211,02
45,71
45
Scientia et Technica Año XXVIII, Vol. 28, No. 01, enero-marzo de 2023. Universidad Tecnológica de Pereira.
En la Tabla VII se muestra el promedio y el rango de las 1.000
simulaciones realizadas. Es evidente que a medida que aumenta
el porcentaje de días contaminados el porcentaje de datos
faltantes también aumenta, donde el máximo de faltas en una
corrida fue de 9,7%, bajo un escenario del 100% de días
contaminados.
En la Tabla VIII se muestran los resultados asociados al
desempaño del método de imputación, evaluado con la raíz del
error cuadrático medio (RMSE) y con el coeficiente de
determinación, lo cual se aplicó para los diferentes niveles de
días con horas faltantes, teniendo en cuenta las estimaciones de
covarianza
por
máxima
verosimilitud
(),
y
la
estimación
por
encogimiento
(
).
De acuerdo con los resultados de la Tabla VIII, los valores de
𝑅𝑀𝑆𝐸 y 𝑅
2
resultan similares bajo todos los escenarios
incluyendo aquel con mayor porcentaje de faltas, por lo que se
pueden interpretar las estimaciones dadas para el escenario con
100% de días contaminados con faltantes, generalizando el
desempeño del método.
Se observa que la precisión del método es mejor al usar las
estimaciones por máxima verosimilitud, comparada con las
estimaciones por encogimiento. El error cuadrático medio toma
un valor de 5,72 y 8,55 respectivamente para cada matriz, por
lo que se afirma que en promedio las distancias entre los valores
reales y los valores imputados se alejan en 5,72 unidades
cuando se utiliza Σ; este valor se incrementa a 8,55, más de 3
unidades, al usar Σ
. El R
2
promedio con Σ da como resultado
0,7, indicando que en promedio el 70% de la variabilidad total
de las mediciones de PM
2
,5
se pueden explicar por las
mediciones imputadas; en cambio, al usar Σ
se nota que la
explicación de la variabilidad total de las mediciones baja a
0,41, lo que indica una pérdida de explicación de la imputación
del 30%.
ver cómo las imputaciones no afectan el comportamiento
observado de las concentraciones del contaminante para ambos
días. Los resultados para los demás días son similares, aunque
no se presentan por razones de espacio.
Fig 4. Concentraciones horarias observadas e imputadas de ��
2
.5
para el
lunes
IV.
CONCLUSIONES
A partir de los datos en la ciudad de Cali en 2018, estación
Univalle, los resultados muestran que las mediciones de
partículas finas suspendidas en el aire (𝑃𝑀
2,5
) efectivamente
cuentan con datos faltantes, tal como se anticipa en la literatura.
Para el 2018 se identifiun 13% de faltantes horarias y un total
de 19 días en los que no hubo ninguna medición. Ahora bien,
dados los hallazgos en los últimos años de la relación del
material particulado con la morbilidad en enfermedades
cardiovasculares es importante hacer un seguimiento de calidad
a la contaminación del ambiente en la ciudad de Cali. Por lo
tanto, se concluye, en primera medida, que se debe persistir en
los esfuerzos por reducir esta generación de datos faltantes para
conservar las propiedades de los estimadores utilizados. Y, en
segundo lugar, que resulta importante el estudio permanente del
comportamiento del contaminante, para continuar investigando
métodos de imputación que contribuyan a reducir las
mediciones faltantes, con el fin de conservar la calidad de los
estimadores.
TABLA VIII.
DESEMPEÑO DEL MÉTODO DE IMPUTACIÓN
% días
contaminados
con faltantes
Matrices
√𝑅𝑀𝑆𝐸
2
20 %
Σ
Σ
5,682 (3,910; 8,194)
8,391 (6,224; 10,281)
0,698 (0,352; 0,875)
0,434 (0,164; 0,635)
40%
Σ
Σ
5,698 (4,374; 7,487)
8,565 (7,201; 10,075)
0,698 (0,464; 0,829)
0,411 (0,217; 0,596)
60%
Σ
Σ
5,732 (4,479; 7,086)
8,597 (7,407; 9,985)
0,699 (0,554; 0,808)
0,410 (0,282; 0,568)
80%
Σ
Σ
5,707 (4,618; 6,799)
8,536 (7,510; 9,320)
0,700 (0,578; 0,804)
0,417 (0,325; 0,526)
100%
Σ
Σ
5,718 (4,761; 6,673)
8,556 (7,523; 9,996)
0,700 (0,581; 0,795)
0,411 (0,281; 0,507)
Fuente: Autores
Con las mediciones horarias de 𝑃𝑀
2,5
disponibles, más las
mediciones imputadas, se construyen los boxplot que aparecen
en las Fig. 4 y 5 para lunes y martes. Estos resultados permiten
Fig 5. Concentraciones horarias observadas e imputadas de ��
2
,5
para el
martes
Los escenarios de imputación propuestos buscan recoger las
mismas características del patrón de faltas de la matriz original,
46
Scientia et Technica Año XXVIII, Vol. 28, No. 01, enero-marzo de 2023. Universidad Tecnológica de Pereira
teniendo presente que estos guardan propiedades MCAR, ya
que las faltas se generan sin condiciones que impliquen un tipo
relación entre las faltas y los valores observadas. Bajo los
escenarios de simulación propuestos, el método de imputación
obtuvo buen desempeño, similar bajo todos los escenarios de
simulación, incluso en los escenarios donde se contaminó el
100% de los días.
Debido al reducido tamaño muestral para estimar las matrices
de covarianza con un tamaño relativamente grande de variables,
el estimador de encogimiento resultó ser una herramienta que
permitió generar mejores imputaciones, situación en la que se
prefirió perder la precisión del método con el fin de ganar
imputaciones con resultados lógicos. Podría ser de interés
estudiar si otras matrices objetivo mejoran el desempeño del
método.
Un estudio que se deriva de los resultados es la evaluación de
los test de Normalidad Multivariante y de MCAR, en las
condiciones que se evidenciaron en este trabajo, con 𝑝 𝑛,
dadas las dificultades con la estimación de las matrices de
covarianzas.
Como se mencionó en la introducción, con los resultados
obtenidos se puede proponer que las observaciones horarias de
Journal of the American heart association. 2015. DOI:
10.1161/JAHA.115.002506.
[7] Beyea, J., Stellman, S. D., Teitelbaum, S., Mordukovich, I. and
Gammon, M. D. “Imputation method for lifetime exposure
assessment in air pollution epidemiologic studies”, Environmental
Health. 2013. DOI: 10.1186/1476-069X-12-62
[8] M. Lee, P. Koutrakis, B. Coull, I. Kloog. and J. Schwartz,, “Acute
effect of fine particulate matter on mortality in three Southeastern
states from 2007-2011”, Journal of exposure science &
environmental epidemiology, pp 173-179. 2015. DOI:
10.1038/jes.2015.47
[9] S. M. Taghavi-Shahri, A. Fassó, B. Mahaki and H. Amini,
“Concurrent spatiotemporal daily land use regression modeling and
missing data imputation of fine particulate matter using distributed
space time expectation maximization”, bioRxiv. DOI:
10.1101/354852
[10] J. Céspedes., J. Cuero and F. Hernández “Metodología para seguir
las concentraciones de aerosoles atmosféricos usando técnicas de
teledetección”, Universidad del Valle, Colombia. Sep. 2015.
[11] L. C. Chien, Y. A. Chen and H. L. Yu, “Lagged Influence of fine
particulate matter and geographic disparities on clinic visits for
children’s asthma in Taiwan”. International journal of
environmental research and public health. Abr. 2018. DOI:
10.3390/ijerph15040829
[12] D. Allison, “Quantitative Applications in the Social Sciences:
Missing data”. Univ. of Pennsylvania, Pensylvania P, USA, 2002.
DOI: 10.4135/9781412985079
[13] N. A. Zakira, and M. N. Noor, “Imputation methods for filling
missing data in urban air pollution data for Malaysia”. Urbanism,
��
2,
5
de cada día sean modeladas usando un proceso gaussiano
Arhitectură. Construcţii, Malaysia, Vol 9, No. 2, 2018.
[14] A. Caicedo and C. Jiménez, “Imputación basada en análisis de
ya que este se define como una generalización de la distribución
normal multivariada.
La ausencia de pruebas específicas de Normalidad
multivariante para los casos de con 𝑝 𝑛 se convierten en una
potencial debilidad del procedimiento propuesto. Además, el
hecho de que el estimador máximo verosímil de la matriz de
covarianzas no sea admisible [27], implica que necesariamente
se debe pensar en alternativas para el contraste de hipótesis
sobre Normalidad multivariante, que puedan mejorar las
condiciones para el uso de la propuesta presentada en este
trabajo.
REFERENCIAS
[1] OMS, “9 de cada 10 personas en todo el mundo respiran aire
contaminado, pero más países están tomando medidas”,
Organización Mundial de la Salud. Ginebra Suiza, Comunicado de
prensa. Disponible: https://www.who.int/es/news/item/02-05-
2018-9-out-of-10-people-worldwide-breathe-polluted-air-but-
more-countries-are-taking-action, consultada en marzo 11, 2023
[2] IQAir, “PM2,5”, Actualización más reciente septiembre 22, 2015.
Disponible: https://www.iqair.com/newsroom/pm2-5 .
[3] Cao, Junji and Chow, Judith and Watson, John and Lee,
Shuncheng, “A brief history of PM2.5 and its adverse effects”.
Aerosol and Air Quality Research, Ene. 2013.
DOI:10.4209/aaqr.2012.11.0302
[4] Observatorio Nacional de Salud, “Carga de enfermedad ambiental
en Colombia”. Instituto Nacional de Salud (INS), pág. 96 Bogotá
D.C. Nov. 2018. Disponible:
https://www.ins.gov.co/Noticias/Paginas/Informe-Carga-de-
Enfermedad-Ambiental-en-Colombia.aspx
[5] M. E. Quinteros, S. Lu, C. Blazquez, J. P. Cárdenas-R Ossa, X.,
Delgado-Saborit, J. M., Harrison, R. M. and Ruiz-Rudolph, P.,
“Use of data imputation tools to reconstruct incomplete air quality
datasets: A case-study in Temuco, Chile”, Atmospheric
Environment 200, pp. 40-49. 2019. DOI:
10.1016/j.atmosenv.2018.11.053
[6] Pope III, C. A., J. B., Anderson, J. L., Cannon, J. B., Hales, N. M.,
Meredith, K. G., Le, V. and Horne, B. D., “Short-Term” exposure
to fine particulate matter air pollution is preferentially associated
with the risk of ST-Segment elevation acute coronary events”.
datos funcionales de observaciones faltantes de contaminación
atmosférica por partículas finas suspendidas en el aire (PM
2,5
)”.
Universidad del Valle, Colombia. 2016.
[15] A. Otero, and M. Presiga. “Evaluación de un método de imputación
basado en el Análisis de Datos Funcionales para los registros de
PM2.5 en la ciudad de Cali”. Trabajo de grado en Estadística,
Universidad del Valle, Colombia. Dic. 2019.
[16] G. G. Fernando. “Estimación de matrices de covarianzas: nuevas
perspectivas”, Universidad Nacional de Educación a Distancia,
España, 2014. Disponible: http://e-
spacio.uned.es/fez/eserv/bibliuned:masterMatavanz-
Fgodino/Documento.pdf
[17] J. Schäfer and K. Strimmer. “A shrinkage approach to large-scale
covariance matrix estimation and implications for functional
genomics”. Statistical applications in genetics and molecular
biology, vol. 4, Feb. 2005. DOI: 10.2202/1544-6115.1175
[18] J. Villaseñor and E. Gonzales, “A Generalization of Shapiro–Wilk's
Test for Multivariate Normality”. Communication in Statistics -
Theory and Methods, 2009. DOI: 10.1080/03610920802474465
[19] C. K., Enders “Applied Missing Data Analysis”. Univ. of
Pennsylvania, New York, NY, USA, 2010. Disponible:
http://hsta559s12.pbworks.com/w/file/fetch/52112520/enders.appl
ied
[20] Rubin and B. Donald, “Inference and missing data”. Biometrika
vol. 63 pp. 581-592. Oxford University Press, 1976. DOI:
10.2307/2335739
[21] Little and J. A. Roderick, “A Test of Missing Completely at
Random for Multivariate Data with Missing Values”, Journal of the
American Statistical Association, vol. 83, pp. 1198 - 1202. Dic.
1988. DOI: 10.1080/01621459.1988.10478722
[22] Mardia and V. Kanti, “Measures of multivariate skewness and
kurtosis with applications”, Biometrika vol. 57, no. 3, pp. 519-530,
Dic. 1, 1970. DOI: 10.1093/biomet/57.3.519
[23] DAGMA, “Sistema de Vigilancia de Calidad del Aire de Cali -
SVCAC” Cali, Colombia, acceso: Julio 2020.
[24] R Core Team, “R: A Language and Environment for Statistical
Computing” Viena, Austria. 2020
URL: https://www.R-project.org
[25] RStudio Team (2020). RStudio: Integrated Development for R.
RStudio, PBC, Boston, MA URL: http://www.rstudio.com/.
[26] J. Schäfer and R. Opgen-Rhein and V, Zuber and M. Ahdesmaki
and P.D. Silva and K. Strimmer (Maintainer). “Package corpcor”.
R Package Versión 1.6.9. Ene. 4, 2017. DOI: 10.2202/1544-
6115.1175
47
Scientia et Technica Año XXVIII, Vol. 28, No. 01, enero-marzo de 2023. Universidad Tecnológica de Pereira.
[27] H. Tsukuma and T. Kubokawa, “Shrinkage Estimation for Mean
and Covariance Matrices”. Spinger, 2020. DOI: 10.1007/978-981-
15-1596-5
Esteban Arroyave López nació en
Cali, Colombia y obtuvo su titulo de
Estadístico en la Universidad del
Valle, ubicada en esta misma ciudad,
en el año 2021. Actualmente trabaja
como contratista en el proyecto Big
Data del departamento de las TIC, en
la Alcaldía de la de Santiago de Cali,
brindando asesorías técnicas transversales a la entidad para
guiar la formulación e implementación de casos de uso de
analítica avanzada mediante computo en la nube. Entre sus
intereses se encuentra la gestión de proyectos de analítica y los
modelos de aprendizaje automático.
ORCID: https://orcid.org/0000-0001-6844-0828
Alejandro Villarreal Monsalve nació en
la ciudad de Cali, es Estadístico de la
Universidad del Valle, graduado en el año
2021. Actualmente desempeña el cargo de
Analista de Analítica de datos en Seguridad
Atlas LTDA, su rol principal consiste en
apoyar el desarrollo de soluciones
analíticas en la empresa, empleando
metodologías de estadística, ciencia de datos y computación en
la nube. Sus intereses son ingeniería de datos y la integración
de modelos de analítica en aplicaciones de software para el
usuario final.
ORCID: https://orcid.org/0000-0003-1304-2958
Javier Olaya Ochoa recibió su título de
pregrado en Estadística de la Universidad
del Valle, Cali, Colombia, en 1986. Sus
títulos de Maestría en Ciencias
Matemáticas, en 1997, y el de PhD en
Management Science, en 2000, de la
Universidad de Clemson, SC, USA.
Actualmente es profesor titular en la Escuela de Estadística de
la Universidad del Valle, Cali, Colombia. Sus intereses de
investigación incluyen los métodos de suavización y regresión
no paramétrica, el análisis de datos funcionales y las
aplicaciones de la Estadística en problemas ambientales,
especialmente de la calidad del aire.Correo electrónico:
ORCID: https://orcid.org/000-0001-7014-2782