
Scientia et Technica Año XXIII, Vol. 29, No. 02, abril-junio de año 2024. Universidad Tecnológica de Pereira.
with the advantage to eliminate interface errors. Transient
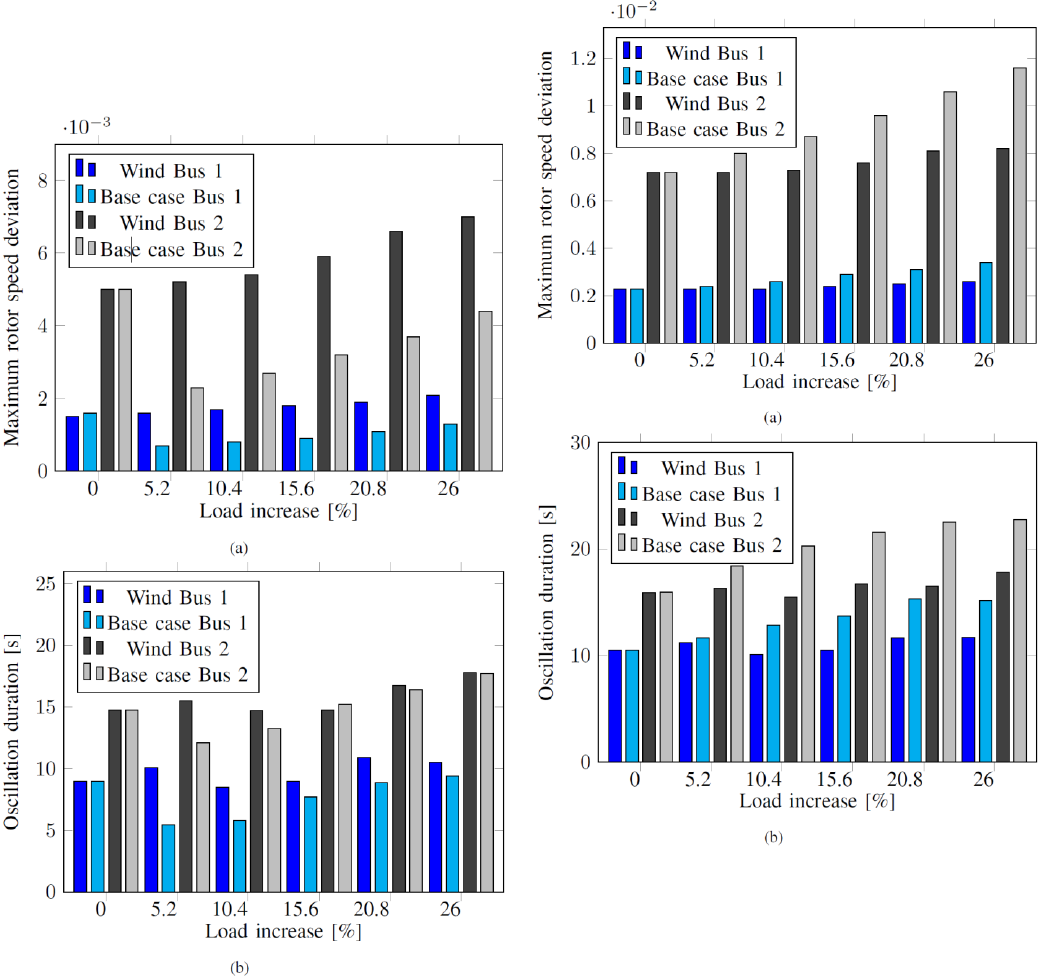
stability indicators are computed, which showed to be strongly
influenced by the location and duration of the faults. There is
an increasing trend in the results for the maximum rotor speed
deviation and the oscillation duration, which means that the
stability margins are reduced with wind power integration.
From the results, fault at bus 6 exhibit lower values for the
oscillation duration and the maximum rotor speed deviation.
On the other hand, the results for faults at buses 5 and 8
manifest similarities which means more susceptibility to lose
rotor angle stability. In order to improve the transient stability
indicators, constant-speed wind turbines can be equipped with
a pitch control system in such a way that the temporary
imbalance between the input mechanical power and the output
electrical power can be minimized.
VIII.
REFERENCES
[1] V. Akhmatov, “Analysis of dynamic behaviour of electric power
systems with large amount of wind power,” Doctoral Thesis,
Universidad Técnica de Dinamarca, Lyngby, 2003.
https://findit.dtu.dk/en/catalog/537f0c897401dbcc120014da
[2] J. G. Slootweg, “Wind power: Modelling and impact on power
system dynamics,” Doctoral Thesis, Delft University of Technology,
Delft, 2003. http://resolver.tudelft.nl/uuid:f1ce3eaa-f57d-4d37-b739-
b109599a7d21
[3] Y. Coughlan, “Wind turbine modelling for power system stability
analysis – a system operator perspective,” IEEE Transactions on
Power Systems, vol. 22, pp. 929–936, 2007.
doi:10.1109/TPWRS.2007.901649
[4] M. Vittal, E. O’Malley and A. Keane, “Rotor angle stability with
high penetrations of wind generation,” IEEE Transactions on Power
Systems, vol. 27, pp. 353–362, 2012.
doi:10.1109/TPWRS.2011.2161097
[5] A. Agarala and et al., “Transient stability analysis of a
multimachine power system integrated with renewables,” Energies,
vol. 15, no. 13, 2022. [Online]. Available:
https://www.mdpi.com/1996-1073/15/13/4824
[6] D. Trudnowski, “Fixed-speed wind-generator and wind- park
modeling for transient stability studies,” IEEE Transactions on
Power Systems, vol. 19, pp. 1911–1917, 2004.
doi:10.1109/TPWRS.2004.836204
[7] M. Rahimi and M. Parniani, “Dynamic behavior and transient
stability analysis of fixed speed wind turbines,” Renewable Energy,
vol.34, pp. 2613–2624, 2009.
https://doi.org/10.1016/j.renene.2009.06.019
[8] M. Reza, “Stability analysis of transmission system with high
penetration of distributed generation,” Doctoral Thesis, Delft
University of Technology, Delft, 2006.
http://resolver.tudelft.nl/uuid:eb91654e-87d8-4a3f-957e-
93b8b94452ea
[9] M. Zapata Ceballos, “Estabilidad de pequeña señal en sistemas de
energía eléctrica con alta penetración de generación renovable,”
Master’s thesis, UNAL Medellín, 2020.
https://repositorio.unal.edu.co/handle/unal/78568
[10] J. Chow and K. Cheung, “A toolbox for power system dynamics
and control engineering education and research,” IEEE Transactions
on Power Systems, vol. 7, no. 4, pp. 1559–1564, 1992.
doi:10.1109/59.207380
[11] F. Milano, “An open source power system analysis toolbox,”
IEEE Transactions on Power Systems, vol. 20, no. 3, pp. 1199–1206,
2005. doi:10.1109/TPWRS.2005.851911
[12] S. Cole and R. Belmans, “Matdyn, a new matlab-based toolbox
for power system dynamic simulation,” IEEE Transactions on Power
Systems, vol. 26, no. 3, pp. 1129–1136, 2011.
doi:10.1109/TPWRS.2010.2071888
[13] I. Abdulrahman, “Matlab-based programs for power system
dynamic analysis,” IEEE Open Access Journal of Power and Energy,
vol. 7, pp. 59–69, 2020. doi:10.1109/OAJPE.2019.2954205
[14] P. Aristidou, D. Fabozzi, and T. Van Cutsem, “Dynamic
simulation of large-scale power systems using a parallel schur-
complement-based decomposition method,” IEEE Transactions on
Parallel and Distributed Systems, vol. 25, no. 10, pp. 2561–2570,
2014. doi:10.1109/TPDS.2013.252
[15] F. Milano, “Semi-implicit formulation of differential-algebraic
equations for transient stability analysis,” IEEE Transactions on
Power Systems, vol. 31, no. 6, pp. 4534–4543, 2016.
doi:10.1109/TPWRS.2016.2516646
[16] C. Wang, K. Yuan, P. Li, B. Jiao, and G. Song, “A projective
integration method for transient stability assessment of power
systems with a high penetration of distributed generation,” IEEE
Transactions on Smart Grid, vol. 9, no. 1, pp. 386–395, 2018.
doi:10.1109/TSG.2016.2553359
[17] J. Pitteloud, “Wind energy international. Obtained from global
wind installations,” p. 1, 2020. https://gwec.net/global-wind-report-
2021/
[18] IEC61400-27-1, “Wind energy generation systems - part 27-1:
Electrical simulation models - generic models,” p. 100, 2020.
https://webstore.iec.ch/en/publication/32564
[19] J. Fortmann, Modeling of Wind Turbines with Doubly Fed
Generator System, 1st ed. Duisburg: Springer Vieweg, 2015.
https://link.springer.com/book/10.1007/978-3-658-06882-0
[20] A. D. Hansen, “Dynamic wind turbine models in power system
simulation tool digsilent,” Technical University of Denmark, Riso
National Laboratory, Tech. Rep., 2007.
https://backend.orbit.dtu.dk/ws/portalfiles/portal/7703047/ris_r_1400
_ed2.pdf
[21] N. Hatziargyriou and et al., “Definition and classification of
power system stability – revisited & extended,” IEEE Transactions
on Power Systems, vol. 36, no. 4, pp. 3271–3281, 2021.
doi:10.1109/TPWRS.2020.3041774
[22] K. R. Padiyar, Power System Dynamics: Stability and Control,
1st ed. Hyderabad: BS Publicaciones, 2008.
[23] F. Milano, Power System Modelling and Scripting, 1st ed. La
Mancha: Springer, 2010. https://link.springer.com/book/10.1007/978-
3-642-13669-6
[24] J. Sosapanta Salas, “Simulación de la influencia de la generación
de energía eólica en la estabilidad transitoria,” Master’s thesis,
UNAL, 2023. https://repositorio.unal.edu.co/handle/unal/83058