
Scientia et Technica Año XXVIII, Vol. 29, No. 04, octubre-diciembre de 2024. Universidad Tecnológica de Pereira. 171
orden de la derivada hasta 5. Las grandes diferencias aparecen
cuando se considera el valor a=1 ya que los resultados
obtenidos pasan de estar en el orden de 10
-6
pcm cuando no se
reduce el orden de las derivadas y cuando se reducen las
máximas diferencias alcanzan valores de 10
-1
pcm.
TABLA V. MÁXIMA DIFERENCIA EN LA REACTIVIDAD EN PCM
TABLA VI. MÁXIMA DIFERENCIA EN LA REACTIVIDAD EN PCM
En el último experimento numérico se puede observar el
comportamiento del método propuesto cuando se usan la
reducción del orden de las derivadas para una forma de la
densidad de la población de neutrones P(t)=a+sin(bt) con
a=150, b= π/10 y un paso de tiempo T=1 s. Las máximas
diferencias en reactividad son aproximadamente 4.67 pcm,
1.50 pcm y 0.55 pcm usando el primero, segundo y tercer
número de Bernoulli respectivamente. Los resultados indican
nuevamente como el caso
presenta buenas
aproximaciones.
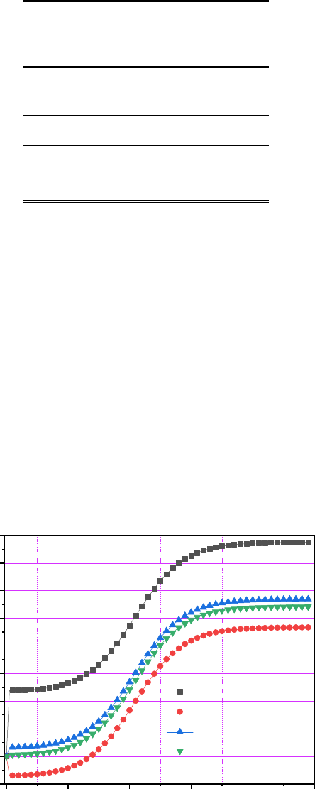
En la Figura 2 se muestra la curva de reactividad para una
densidad de neutrones P(t)=a +b sinh(ka t) con a=100, b= 1 y
ka= 1.27×10
-3
s
-1
con un tamaño de paso de tiempo T=1 s
hasta un tiempo de simulación de t=10000 s. Se evidencia que
el método propuesto tiene una mejor aproximación en
comparación con el primer y el segundo número de Bernoulli.
0 2000 4000 6000 8000 10000
-2
0
2
4
6
8
10
12
14
16
Reactividad [pcm]
Tiempo [s]
r
B
1
r
B
2
r
B
3
Método de referencia
Fig. 2. Curva de reactividad en pcm para P(t)=a +bsinh(ka t), t=10000 s.
V. CONCLUSIONES
Se presento un método para calcular numéricamente la
reactividad considerando los parámetros físicos para un
reactor nuclear que emplea combustible
usando la
ecuación inversa de la cinética puntual, la cual depende de la
densidad de población de neutrones; esto se logró empleando
la fórmula de Euler-Maclaurin que permite hacer una
aproximación de una integral entre el tiempo continuo y el
tiempo discreto. El método propuesto usó la aproximación del
tercer número de Bernoulli y el criterio de reducir el orden de
las derivadas, permitiendo calcular la reactividad en una forma
semi recursiva, obteniendo buenas aproximaciones para
diferentes formas de la densidad de la población de neutrones
y diferentes pasos de cálculo. La limitación y las dificultades
se pueden presentar por las aproximaciones dadas en las
ecuaciones (13-15). Sin embargo, existe buena precisión y se
evidencia en los resultados numéricos realizados, la
aproximación del tercer número de Bernoulli reduce el costo
computacional y puede ser un método alternativo para
implementar en medidores de reactividad digital.
REFERENCIAS
[1] M. Stacey, Nuclear Reactor Physics 3e. Weinheim,
Germany: Wiley-VCH Verlag GmbH & Co. KGaA,
2018. doi: 10.1002/9783527812318
[2] Y. Shimazu, Y. Nakano, Y. Tahara, and T. Okayama,
“Development of a Compact Digital Reactivity Meter and
a Reactor Physics Data Processor.,” Nucl Technol, vol.
77, no. 3, pp. 247–254, 1987, doi: 10.13182/NT87-
A33964
[3] J. E. Hoogenboom and A. R. van der Sluijs, “Neutron
source strength determination for on-line reactivity
measurements,” Ann Nucl Energy, vol. 15, no. 12, pp.
553–559, 1988, doi: 10.1016/0306-4549(88)90059-X
[4] S. E. Binney and A. J. M. Bakir, “Design and
development of a personal-computer-based reactivity
meter for a research reactor,” Nucl Technol, vol. 85, no.
1, pp. 12–21, 1989, doi: 10.13182/NT89-A34223
[5] S. A. Ansari, “Development of on-line reactivity meter
for nuclear reactors,” IEEE Trans Nucl Sci, vol. 38, no. 4,
pp. 946–952, Aug. 1991, doi: 10.1109/23.83857
[6] A. Kitano, M. Itagaki, and M. Narita, “Memorial-Index-
Based Inverse Kinetics Method for Continuous
Measurement of Reactivity and Source Strength,” J Nucl
Sci Technol, vol. 37, no. 1, pp. 53–59, Jan. 2000, doi:
10.1080/18811248.2000.9714866
[7] H. Malmir and N. Vosoughi, “On-line reactivity
calculation using Lagrange method,” Ann Nucl Energy,
vol. 62, pp. 463–467, 2013, doi:
10.1016/j.anucene.2013.07.006
[8] D. Suescún-Díaz, J. A. Rodríguez-Sarasty, and J. H.
Figueroa-Jiménez, “Reactivity calculation using the
Euler–Maclaurin formula,” Ann Nucl Energy, vol. 53, pp.
104–108, Mar. 2013, doi: 10.1016/j.anucene.2012.09.026
[9] D. Suescún-Díaz, M. C. Ibarguen-Gonzalez, and J. H.
Figueroa-Jiménez, “Hamming generalized corrector for